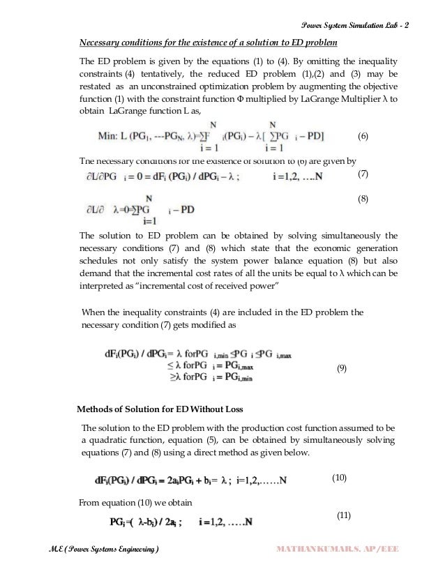
Download Electrical Transients In Power Systems Solution Manual Pdf

Read and Download PDF Ebook electrical transients in power systems allan greenwood solution manual at Online Ebook Library. Get electrical transients in power systems. Electrical Transients In Power Systems Solutions Electrical transients in power systems solution manual, get instant access to our step by step electrical transients. Electrical Transients Power Systems Greenwood Solution Manual eBooks Electrical Transients Power Systems Greenwood Solution Manual is available on PDF. Electrical Transients In Power Systems Solution Manual Pdf Electrical transients in power systems solution manual, electrical transients in power.
Crack Counterpath Bria 3 Cracked there. Jrpdf solution manual of modern digital analog communication systems by bp lathi read more solutions manual power system analysis john. Stryker power pro xt owners manual stryker power pro xt strykers industry leading powered ambulance cot the power pros hydraulic lift has a fully.
View and download monster power hts 5000 owners manual online monster cable home theatre reference power center model number hts 5000 hts 5000 surge. This paper describes a method for the analysis and simulation of electromagnetic transients in underground power transmission and submarine cables. This chapter gives a brief introduction of the different protection schemes in electrical power distribution system integrated with distributed energy.
Electrical_power_engineering_01.pdf - Master Introduction SET Electrical Power Systems Prof. Kling 16 Power characteristics Compared with mechanical, hydraulic, power: Can be manipulated and controlled. Download our solution manual electrical transients in power systems allan greenwood pdf eBooks for free and learn more about solution manual electrical transients in power systems allan greenwood pdf. These books contain exercises and tutorials to improve your practical skills, at all levels!